Задать свой вопрос   *более 50 000 пользователей получили ответ на «Решим всё»

Задача 10830 а) Решите уравнение...

Условие

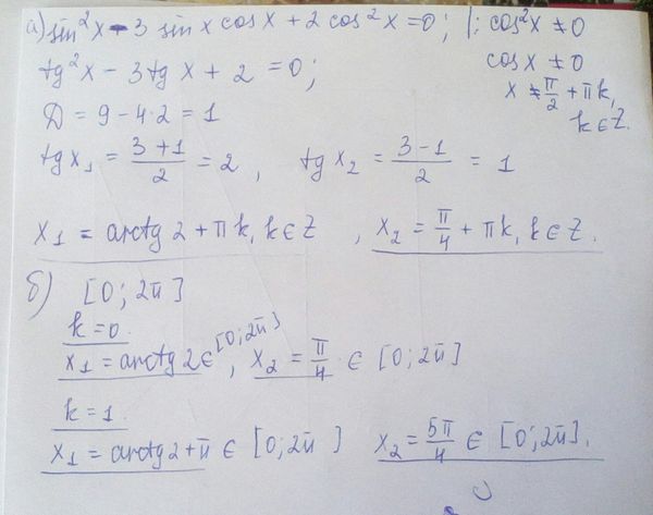
а) Решите уравнение sin^2x-3sinxcosx+2cos^2x=0.
б) Найдите все корни этого уравнения, принадлежащие промежутку [0; 2Pi].

математика 10-11 класс 31633

Решение

Написать комментарий

Меню

Присоединяйся в ВК