Задать свой вопрос   *более 50 000 пользователей получили ответ на «Решим всё»

Задача 10757 Найдите наименьшее значение функции f...

Условие

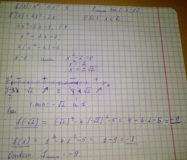
Найдите наименьшее значение функции f (x) = x^4-4x^2-5 на отрезке [-3; 1]

математика 10-11 класс 14999

Решение

Все решения

D(f)=(-бесконечность;+бесконечность)
f`(x)=4x^3-8x
f`(x)=0
4x^3-8x=0
4x(x^2-2)=0
x=0 x=- sqrt(2) x=sqrt(2) - точки возможных экстремумов.
Указанному промежутку не принадлежит точка х=sqrt(2)
Применяем достаточное условие экстремума.
Проверяем знак производной на промежутках.

[-3] _-__ (-sqrt(2)) __+__ (0) __-__ [1]

x=-sqrt(2)- точка минимума, производная при переходе через точку меняет знак с - на +.
Находим значения функции в точке х=-sqrt(2) и на конце отрезка (в точке х=1).
В точке х=-3 значение больше, чем значение в точке минимума х=-sqrt(2).
y(-sqrt(2))=(-sqrt(2))^4-4(-sqrt(2))^2-5=4-8-5=-9
y(1)=(1)^4-4(1)^2-5=-8
О т в е т. Наименьшее значение функции при х=-sqrt(2)
у(1)=-9

Написать комментарий

Меню

Присоединяйся в ВК