Задать свой вопрос   *более 50 000 пользователей получили ответ на «Решим всё»

Задача 10752 Найдите тангенс угла, который образует с...

Условие

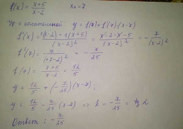
Найдите тангенс угла, который образует с положительным направлением оси абсцисс касательная, проведенная к графику функции f(x)=(x+5)/(x-2), в точке x_(0)=7 этого графика.

математика 10-11 класс 7456

Решение

Написать комментарий

Меню

Присоединяйся в ВК