Задать свой вопрос
*более 50 000 пользователей получили ответ на «Решим всё»
Задача 10701
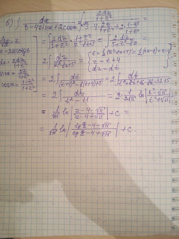
Вычислить интеграл dx/(3-4sinx+2cosx)...
Условие
vk263815599
22.10.2016
Вычислить интеграл dx/(3-4sinx+2cosx)
математика ВУЗ
3908
Решение
Ответ:
В решение
Написать комментарий
Меню
Решим всё
Найти задачу
Категории
Статьи
Тесты
Архив задач
Присоединяйся в ВК