Задать свой вопрос   *более 50 000 пользователей получили ответ на «Решим всё»

Задача 10622 Найдите все а, при каждом из которых...

Условие

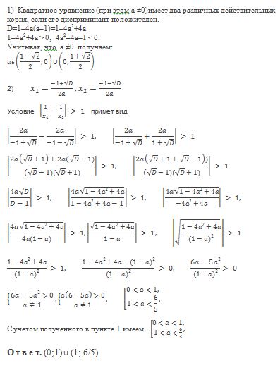
Найдите все а, при каждом из которых уравнение ax^2+x+a-1=0 имеет два различных действительных корня x1 и x2, удовлетворяющих неравенству |1/x1 - 1/x2| > 1

математика 10-11 класс 4651

Решение

Написать комментарий

Меню

Присоединяйся в ВК