Задать свой вопрос   *более 50 000 пользователей получили ответ на «Решим всё»

Задача 10540 Найдите точку минимума функции...

Условие

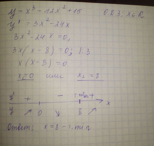
Найдите точку минимума функции y=x^3-12x^2+15

математика 10-11 класс 8814

Решение

Ошибки в решение (1)

Написать комментарий

Меню

Присоединяйся в ВК