Задать свой вопрос   *более 50 000 пользователей получили ответ на «Решим всё»

Задача 10506 В правильной шестиугольной призме...

Условие

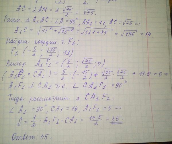
В правильной шестиугольной призме ABCDEFA1B1C1D1E1F1 стороны основания равны 5, а боковые рёбра равны 11.

а) Докажите, что прямые СA1 и C1D1 перпендикулярны.

б) Найдите площадь сечения призмы плоскостью, проходящей через вершины С, A1 и F1.

математика 10-11 класс 22154

Решение

Вопросы к решению (2)
Ошибки в решение (3)

Написать комментарий

Меню

Присоединяйся в ВК