Задать свой вопрос   *более 50 000 пользователей получили ответ на «Решим всё»

Задача 10350 13) 625^x-6*125^x+9*25^x =...

Условие

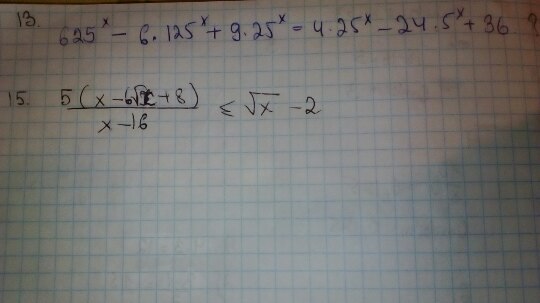
13) 625^x-6*125^x+9*25^x = 4*25^x-24*5^x+36

15) 5(x-6sqrt(x)+8)/(x-16) меньше или равно sqrt(x)-2

математика 10-11 класс 9148

Решение

Замена переменной
5^x=t; t > 0.
(5^2)^x=t^2;
(5^3)^x=t^3;
(5^4)^x=t^4

t^4-6t^3+9t^2=4t^2-24t+36;
t^2*(t^2-6t+9)-4(t^2-6t+9)=0
t^2-6t+9)*(t^2-4)=0
(t-3)^2*(t-2)*(t+2)=0
t=3 или t=2 или t=-2

5^x=3 или 5^x=2 или 5^х=-2
x=log_(5)3 или х=log_(5)2 или уравнение не имеет корней, 5^x > 0 при любом х

О т в е т.log_(5)3; log_(5)2.


ОДЗ: х больше или равно 0; х≠ 16

(5(sqrt(x)-2)*(sqrt(x)-4)-(sqrt(x)-2)*(x-16))/(x-16) меньше или равно 0;

(sqrt(x)-2)*(5sqrt(x)-20-x+16)/(x-16) меньше или равно 0;
(sqrt(x)-2)*(х - 5sqrt(x)+4)/(x-16) больше или равно 0;
(sqrt(x)-2)*(sqrt(x)-1)(sqrt(x)-4)/(x-16) больше или равно 0;

(sqrt(x)-2)*(sqrt(x)-1)/(sqrt(x)+4) больше или равно 0;

(sqrt(x)+4) > 0
(sqrt(x)-2)*(sqrt(x)-1) больше или равно 0;

x меньше или равно 1 или х больше или равно 4
С учетом ОДЗ получаем ответ
х∈[0;1]U[4;16)U(16;+ бесконечность)
О т в е т.х∈[0;1]U[4;16)U(16;+ бесконечность)

Написать комментарий

Меню

Присоединяйся в ВК