Задать свой вопрос   *более 50 000 пользователей получили ответ на «Решим всё»

Задача 10295 Дано уравнение |cosx+1|=cos2x+2 а)...

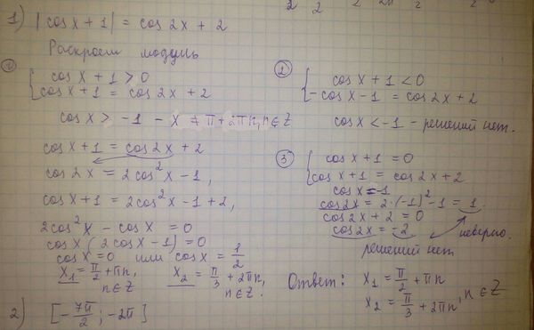
Условие

Дано уравнение |cosx+1|=cos2x+2

а) Решите уравнение.
б) Укажите корни, принадлежащие отрезку [-7Pi/2; -2Pi]

математика 10-11 класс 10845

Решение

Вопросы к решению (1)
Ошибки в решение (1)

Написать комментарий

Меню

Присоединяйся в ВК