Задать свой вопрос   *более 50 000 пользователей получили ответ на «Решим всё»

Задача 10275 В электрической сети напряжение...

Условие

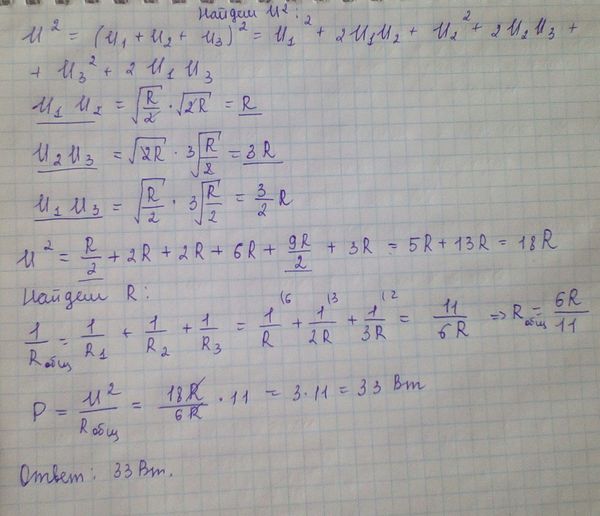
В электрической сети напряжение поддерживается постоянным. При подключении к этой сети трёх последовательно соединённых резисторов с сопротивлениями R, 2R и 3R в цепи выделяется мощность 3 Вт. Какая мощность будет выделяться в цепи при параллельном соединении этих трех резисторов и подключении к той же сети?

физика 10-11 класс 6046

Решение

Все решения

Напряжение в сети постоянное,значит, оно будет const и в первом случае, и во втором.
U^2=P1*R(общ1) (из P1=U^2/R(общ1)),R(общ1)=R+2R+3R=6R (т.к. резисторы в первом случае подключены последовательно), P1 дано в условие. U^2=P1*6R
Во 2 случае резисторы соединены параллельно, их общее сопротивление: 1/R(общ2)=1/R+1/2R+1/3R = > R(общ2)=6R/11. Мощность для этого случая P2=U^2/R(общ2). Подставим U и R(общ2). P2=P1*6R/(6R/11) = > P2=P1*11. Отсюда ответ: P2=3*11=33 Вт

Написать комментарий

Меню

Присоединяйся в ВК