Задать свой вопрос   *более 50 000 пользователей получили ответ на «Решим всё»

Задача 10241 Картинка имеет форму прямоугольника со...

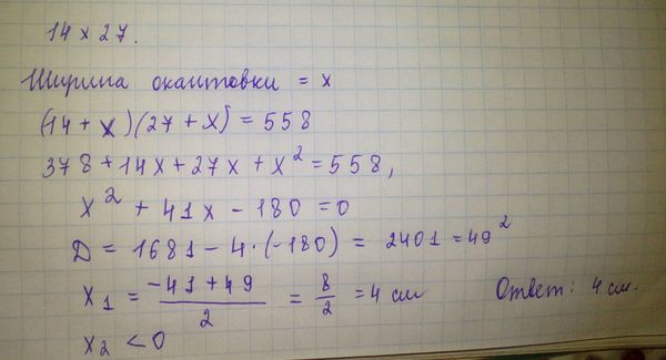
Условие

Картинка имеет форму прямоугольника со сторонами 14 см и 27 см. Её наклеили на белую бумагу так, что вокруг картинки получилась белая окантовка одинаковой ширины. Площадь, которую занимает картинка с окантовкой, равна 558 см^2. Какова ширина окантовки? Ответ дайте в сантиметрах.

математика 8-9 класс 12597

Решение

Пусть ширина окантовки x, тогда высота и ширина рамки будет больше на 2x (так как увеличится ПРАВАЯ и ЛЕВАЯ граница, ВЕРХНЯЯ и НИЖНЯЯ).

(14+2x)*(27+2x) = 558

378 + 54x + 28x + 4x^2 = 558

4x^2 + 82x + 378 - 558 = 0

4x^2 + 82x - 180 = 0 | сократим на 2

2x^2 + 41x - 90 = 0

D = 41^2 - 4*2*(-90) = 1681 + 720 = 2401 = 49^2

x_(1) = (-41 + 49)/(2*2) = 8/4 = 2
x_(2) = (-41 - 49)/(2*2) = -22,5 (исключаем, так как ширина окантовки не может быть отрицательной)

Ответ: 2 см


Ответ: 2

Вопросы к решению (1)

Решение

Написать комментарий

Меню

Присоединяйся в ВК