Задать свой вопрос   *более 50 000 пользователей получили ответ на «Решим всё»

Задача 10216 найти производную функции...

Условие

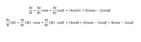
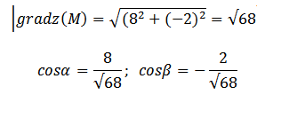
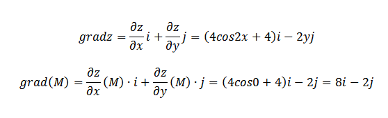
найти производную функции z=2sin2x-y^2+4x в направлении градиента и указанного вектора М (0.1)

математика ВУЗ 1508

Решение

Градиент - вектор, указывающий направление наибыстрейшего роста данной функции. В направлении градиента функция имеет самый крутой подъем.

Написать комментарий

Меню

Присоединяйся в ВК