Задать свой вопрос   *более 50 000 пользователей получили ответ на «Решим всё»

Задача 10203 В однородном магнитном поле индукция...

Условие

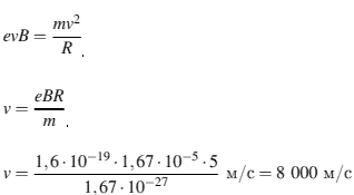
В однородном магнитном поле индукция которого равна 1,67*10^(-5) ТЛ протон движется перпендикулярно вектору магнитной индукции В по окружности радиусом 5 и определите скорость протона

физика 10-11 класс 17853

Решение

Написать комментарий

Меню

Присоединяйся в ВК