Задать свой вопрос   *более 50 000 пользователей получили ответ на «Решим всё»

Задача 10183 Даны два конуса. Радиус основания и...

Условие

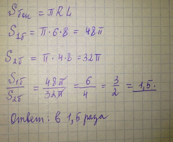
Даны два конуса. Радиус основания и образующая первого конуса равны, соответственно, 6 и 8, а второго — 4 и 8. Во сколько раз площадь боковой поверхности первого конуса больше площади боковой поверхности второго?

математика 10-11 класс 44713

Решение

Написать комментарий

Меню

Присоединяйся в ВК