Задать свой вопрос   *более 50 000 пользователей получили ответ на «Решим всё»

Задача 10141 Тонкое полукольцо радиусом 15 см...

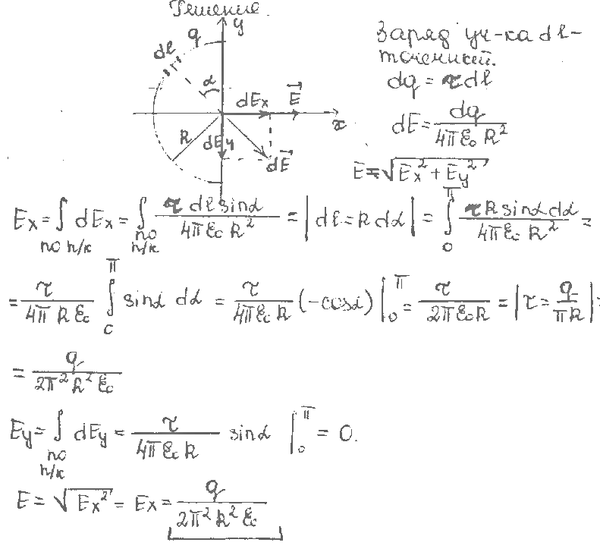
Условие

Тонкое полукольцо радиусом 15 см заряжено равномерно зарядом 0,60 нКл. Найти модуль вектора напряженности электрического поля в центре этого полукольца. (в решении привести рисунок, пояснения, расчеты)

физика ВУЗ 5521

Решение

Расчеты:

E = 0.7*10^(-9) / 2*Pi^2*(0.15)^2*8.85*10^(-12) = 0,15 кВ/м

Вопросы к решению (1)

Написать комментарий

Меню

Присоединяйся в ВК