Задать свой вопрос   *более 50 000 пользователей получили ответ на «Решим всё»

Задача 10135 3. Найдите предел последовательности...

Условие

3. Найдите предел последовательности {x_(n)}, если:

4. Доказать, что последовательность {x_(n)} является ограниченной, если:

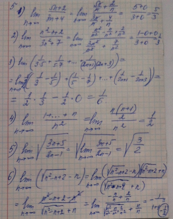
5. Найти lim(n- > бесконечность)x_(n)

математика 10-11 класс 2263

Решение

Написать комментарий

Меню

Присоединяйся в ВК