Задать свой вопрос
*более 50 000 пользователей получили ответ на «Решим всё»
Задача 10127
...
Условие
mylene090773@ma
25.09.2016
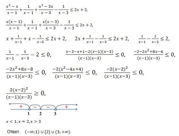
Решить неравенство (x^2–x+1)/(x–1) + (x^2–3x–1)/(x–3) ≤ 2x+2
математика 10-11 класс
6002
Решение
vygar
25.09.2016
★
Написать комментарий
Меню
Решим всё
Найти задачу
Категории
Статьи
Тесты
Архив задач
Присоединяйся в ВК