Задать свой вопрос   *более 50 000 пользователей получили ответ на «Решим всё»

Задача 10104 Решите неравенство (x-5)*log(x+1)(2x+1)...

Условие

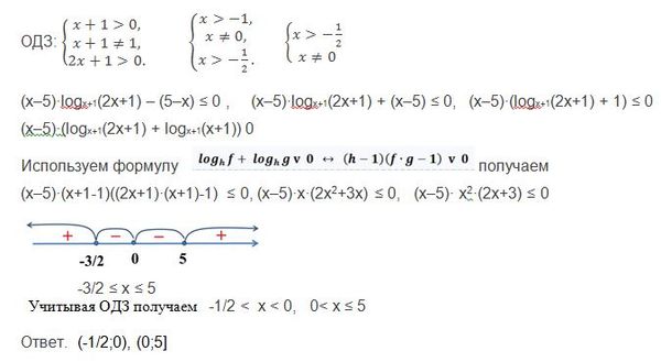
Решите неравенство (x-5)*log(x+1)(2x+1) меньше или равно 5-x

математика 10-11 класс 10933

Решение

Вопросы к решению (2)

Написать комментарий

Меню

Присоединяйся в ВК