Задать свой вопрос   *более 50 000 пользователей получили ответ на «Решим всё»

Задача 10102 Дано уравнение...

Условие

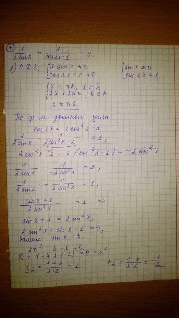
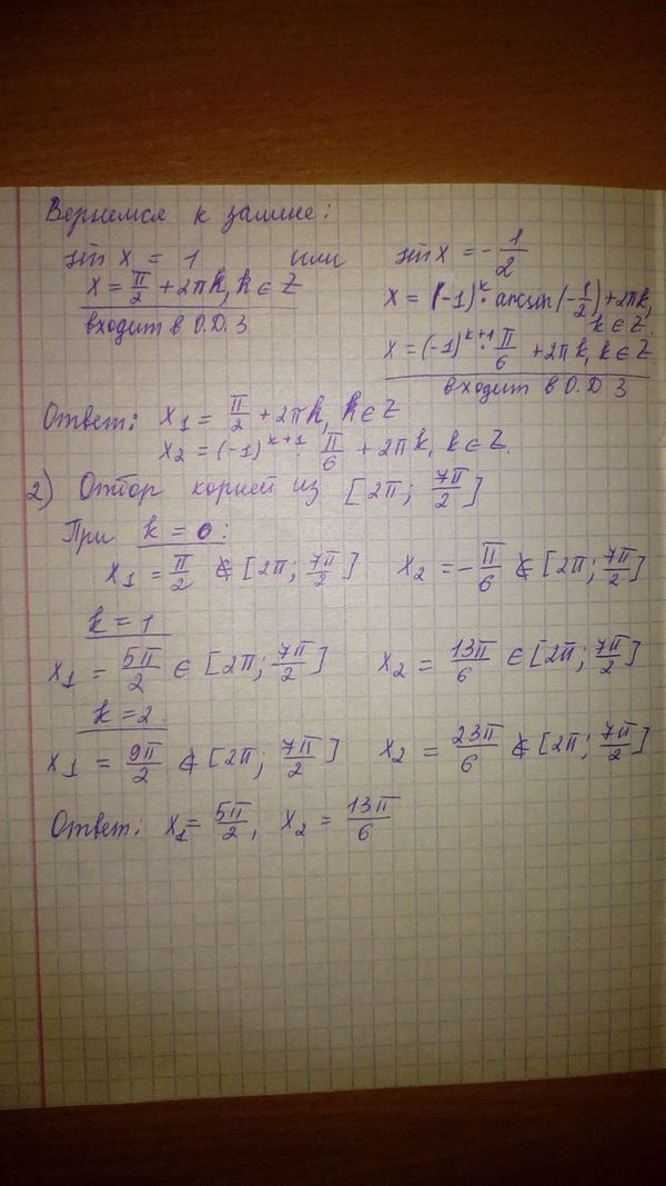
Дано уравнение 1/(2sinx)-1/(cos2x-1)=1

а) Решите уравнение.
б) Укажите его корни, принадлежащие отрезку [2Pi;7Pi/2]

математика 10-11 класс 14286

Решение

Ошибки в решение (1)

Написать комментарий

Меню

Присоединяйся в ВК