Задать свой вопрос   *более 50 000 пользователей получили ответ на «Решим всё»

Задача 10096 Сократить a^(-3)*a^2/a^6...

Условие

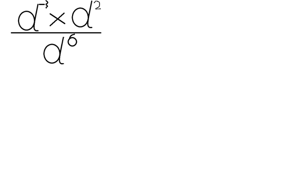
Сократить a^(-3)*a^2/a^6

математика 8-9 класс 1067

Решение

при умножении степеней с одинаковыми основаниями, показатели складываются, -3+2=-1, значит в числителе получим d^(-1).
при делении показатели вычитаются, -1-6=-7, ответ d^(-7)

Написать комментарий

Меню

Присоединяйся в ВК