Задать свой вопрос
*более 50 000 пользователей получили ответ на «Решим всё»
Задача 10050
Решить уравнение 3/x-4/(1-x) =...
Условие
3012842
22.09.2016
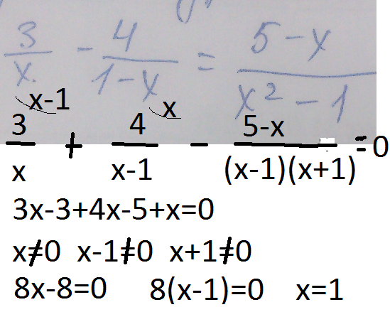
Решить уравнение
3/x-4/(1-x) = (5-x)/(x^2-1)
Упросить выражение:
(b-2-1/(2-b))*...
математика 10-11 класс
1064
Решение
SOVA
22.09.2016
★
Написать комментарий
Меню
Решим всё
Найти задачу
Категории
Статьи
Тесты
Архив задач
Присоединяйся в ВК