Задать свой вопрос
*более 50 000 пользователей получили ответ на «Решим всё»
Задача 10045
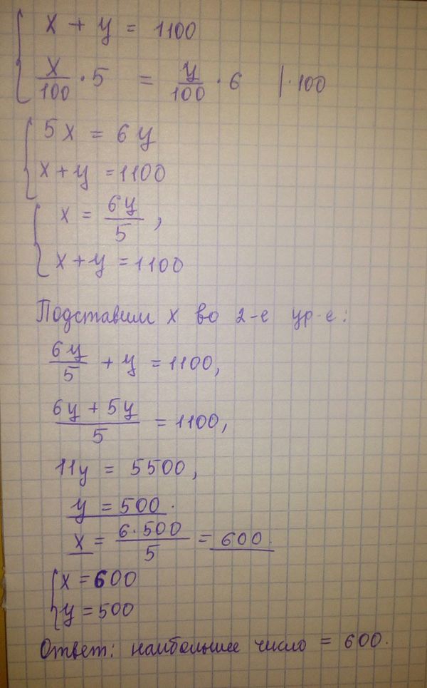
Сумма двух чисел равна 1100. Найдите...
Условие
slava191
21.09.2016
Сумма двух чисел равна 1100. Найдите наибольшее из них, если 6% одного из них равны 5% другого.
математика 10-11 класс
10851
Решение
vk165902784
21.09.2016
★
Написать комментарий
Меню
Решим всё
Найти задачу
Категории
Статьи
Тесты
Архив задач
Присоединяйся в ВК