Задать свой вопрос   *более 50 000 пользователей получили ответ на «Решим всё»

Задача 10009 Как надо изменить массу груза пружинного...

Условие

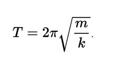
Как надо изменить массу груза пружинного маятника ( увеличить или уменьшить), чтобы увеличить период его колебаний в 2 раза

физика ВУЗ 5693

Решение

Т.к период колебаний зависит от квадратного корня из массы, то чтобы увеличить период колебаний в 2 раза, его массу нужно увеличить в 4 раза

Написать комментарий

Меню

Присоединяйся в ВК