Задать свой вопрос   *более 50 000 пользователей получили ответ на «Решим всё»

Задача 10005 Найти проекции вектора a на оси...

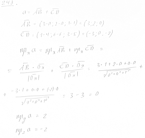
Условие

Найти проекции вектора a на оси координат, если a=vector{AB}+vector{CD}, A(0;0;1), B(3;2;1), C(4;6;5) и D(1;6;3).

математика ВУЗ 11648

Решение



Ответ: В решение

Написать комментарий

Меню

Присоединяйся в ВК