Задать свой вопрос
*более 50 000 пользователей получили ответ на «Решим всё»
Задача 10002
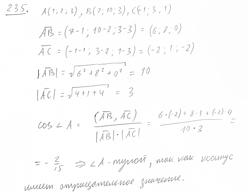
Дан треугольник A(1;2;3), B(7;10;3),...
Условие
slava191
20.09.2016
Дан треугольник A(1;2;3), B(7;10;3), C(-1;3;1). Показать, что угол А-тупой.
математика ВУЗ
6723
Решение
Ответ:
В решение
Написать комментарий
Меню
Решим всё
Найти задачу
Категории
Статьи
Тесты
Архив задач
Присоединяйся в ВК